«Текстильные» сделки вокруг армии, или Как Александр Соколовский сам себя «спалил»
Прошлогодняя отставка Алексея Резникова с должности министра обороны, сопровождается рядом коррупционных скандалов и уголовных дел:...
…
Северодонецк Луганской области
2008 год — Киевский национальный университет имени Тараса Шевченко, диплом финансиста.
2010 год — обучался в американской Brandeis International Business School
Принимал участие в Канадско-украинской парламентской программе стажировки.
…
С 2010 по 2016 год Александр Перцовский работал в крупнейшей логистической компании мира Deutsche Post DHL Group. За шесть лет работы прошел путь от консультанта до руководителя по развитию бизнеса в Азиатско-Тихоокеанском регионе со штаб-квартирой в Сингапуре.
С октября 2016 года он занимает пост первого заместителя генерального директора “Укрпочты”. В 2016 — 2017 годах публиковал статьи для издания “Новое Время Бизнес”.
В июне 2019 года Александр стал членом Наблюдательного совета Международного благотворительного фонда “Альянс общественного здоровья”.
Летом 2020 года появилась информация о том, что Александр Перцовский — один из шести главных претендентов на пост руководителя АО “Укрзализныця”.
…
…
Александр Перцовский, как и его начальник Игорь Смелянский прославился огромной зарплатой. Об этом сообщали “Украинские новости”.
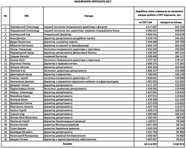
“По данным Национального агентства по вопросам предотвращения коррупции, в 2017 году 32 работника “Укрпочты” получали зарплату в размере более 1 млн гривен”.

“Второе место в рейтинге зарплат занимает заместитель гендиректора “Укрпочты” Александр Перцовский — чуть больше 6 млн грн в год. Кстати, доход господина Александра так же вырос: если в 2016-м его официальная зарплата составляла 300 тыс грн в месяц, то в 2017-м увеличилось до более 508 тыс грн.”
Экономист Василий Петренко в своем блоге на сайте “Корреспондент” в августе 2016 года писал, что “после того как победителем конкурса стал Игорь Смелянский (на должность гендиректора “Укрпочты” — прим. ред.), недалекий министр экономического развития и торговли Айварас Абромавичус выступил за назначение первым заместителем генерального директора Укрпочты какого-то не примечательного Александра Перцовского.
Надо сказать, что Абромавичуса очень впечатляли люди получившие степень магистра — ведь он сам сумел доучиться лишь до бакалавра”.
Перцовский “согласился перейти на должность заместителя генерального директора Укрпочты при условии выплаты ему месячной зарплаты 40 тысяч долларов (1 млн гривен в месяц). Для этого ему будет назначена зарплата 300 тысяч гривен, а остальное ему обещают доплачивать в виде двух 100% надбавок и премий.
Надо сказать, что с его реальной трудовой биографией никто не знаком, ее, стараясь подороже продать своего клиента, сочинило близкое к власти кадровое агентство”.
“Проблема в том, что Перцовский, кстати, также как и Смелянский, абсолютно не разбирается в почтовых технологиях. Почтовики сразу заподозрили неладное во время его единственного появления в Укрпочте. Появившись вместе со Смелянским в Центре обработки почты, Перцовский задал дилетантский вопрос: почему вы здесь обрабатываете почту руками, вместо того чтобы поставить автоматическую сортировочную линию?
Удивленные его некомпетентностью почтовики ответили, что при существующем потоке корреспонденции такая линия будет загружена полчаса в день и никогда не окупит свою немалую стоимость”.
“Теперь с некомпетентностью Перцовского сотрудники Укрпочты имеют возможность знакомиться каждый день. По указанию Смелянского был составлен график, согласно которому ведущие сотрудники Укрпочты по часу в день по Скайпу общаются с находящимся в Сингапуре молодым дарованием, и объясняют ему как работает почта.
Перцовский просит всех предложить какое-то реформаторское решение, потому что перед ним поставлена задача «сделать прорыв». Почтовики удивляются его почтово-экономическому невежеству и объясняют, что любой прорыв не делается быстро и стоит много денег, которых у Укрпочты нет.
Все это они делают с тихой ненавистью – а какое еще чувство могут испытывать люди с зарплатой 8 тысяч гривен, обучая своего будущего некомпетентного руководителя с зарплатой 1 миллион?”
Не женат. Встречается с девушкой Ириной.
ПУБЛИКАЦИИ С УПОМИНАНИЕМ ЭТОЙ ФАМИЛИИ
Прошлогодняя отставка Алексея Резникова с должности министра обороны, сопровождается рядом коррупционных скандалов и уголовных дел:...
КОРУПЦІЯ | РЕФОРМИ | ПРИВАТИЗАЦІЯ | НАЦІОНАЛІЗАЦІЯ | ЄВРОІНТЕГРАЦІЯ | СВІТ ПРО НАС | ПРЕМ’ЄЕРІАДА | ДУМКА ПОЛІТОЛОГА | СПРАВА ЧЕСТІ | ФЕМІДА | ВИБОРЫ | ДОСЬЄ
Розміщення інформації — adv@web777.kiev.ua
Загальні питання — info@web777.kiev.ua
Всі матеріали на даному сайті взяті з відкритих джерел українських ЗМІ — мають зворотне посилання на матеріал в мережі і надаються виключно в ознайомлювальних цілях. Права на матеріали належать їх власникам. Адміністрація сайту відповідальності за зміст матеріалу не несе.
Copyright 2026 © DOSSIER — Political persons of Ukraine | Всі права захищені